关于什么是GPS我们就不赘述了,可以参考【04】无人驾驶的定位(Localization)一文。今天我们来讲讲GPS定位为什么需要4颗近地卫星才行,而不是3颗。
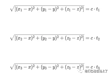
我们先来看一个数学问题,从数学逻辑上来讲,我们知道卫星到地面某点的距离,以该距离为半径,以卫星位置为球心画球,此时需要三个卫星,也就是三个球体就可以得到两个交点,如下图所示:


卫星1的坐标:(x1,y1,z1); GPS接收器坐标:(x,y,z); 光速:c 卫星信号到GPS接收器的时间:t1、t2、t3;
当我们排除掉一个不在地球表面的点之后,剩下的点就是地面的点了。
但是这只是数学理论,由于卫星和GPS接收器的时间没有办法保持完全一致,这个计算过程就存在一个新的未知变量,也就是GPS接收器和标准时间的差异,我们来看一个例子:
由于GPS接收器的时间和卫星的时间都不是标准时间,都有误差,我们假设:标准时间是8:00,接收机时间是8:01,卫星是8:02,卫星发射电磁波到接收机的时间要5分钟。在标准时间8:00的时候,卫星以为时间是8:02,所以它发射一个信号“我是在卫星时间8:02发射信号的”。接收机将在(标准时间8:05接收到信号),但此时接收机是时间8:01,因此它在自己的时间的8:06接收到了信号,所以,接收机就认为时间为8:06-8:02=4分钟,信号传播了4分钟,而实际上,信号传播了5分钟,这种误差显然是巨大的。
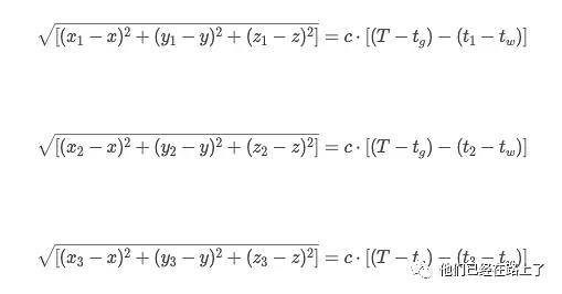
因此我们将计算公式进行优化,引入GPS接收器的时间、卫星时间、标准时间,于是公式如下:

-
卫星1的坐标:(x1,y1,z1); -
卫星1的时间:t1; -
卫星1的钟差:t-w,即卫星时间与标准时间的偏差; -
GPS接收器坐标:(x,y,z); -
GPS接收器的时间:T; -
GPS接收器的钟差:t-g,即GPS接收器时间与标准时间的偏差; -
光速:c
在这个公式里,卫星时间可以根据卫星的原子钟来获得,卫星的钟差同样可以如此获得,卫星的坐标可以通过星历获得,以上这些信息都是已知道的,那么未知的就剩x、y、z、t-g了,因此这时候可以通过四个方程得到x、y、z的解。
当然了还有一个思路就是在GPS接收器上也安装类似卫星的高精度时钟来保证时间统一,但是这个成本其实是非常大的,所以通常的解决方法就是再引入一颗卫星来解决这个问题。
原创文章,作者:王得宇AIPM,如若转载,请注明出处:https://www.pmtemple.com/artificial-intelligence/14166/
微信扫一扫
支付宝扫一扫
