一、背景

作为一款内容产品,其平台上的内容必定是海量的,内容与内容的质量高低、发布时间等都是有很大差距的。所以我们要在鱼龙混杂的内容里,通过哪些手段挑选出用户想看的内容并优先展示呢?也许只有————“热度排序”可以满足。
热度排序 市面上内容产品常见的排序方式,按照内容的热度进行高低排序,可以让用户从海量内容中看到对自己价值较高的内容,今天给大家一起讨论一下内容产品列表的热度排序该去怎么设计。
市面上有很多用户体量不是很大的细分产品,里面的内容列表都会有热度排序。但是大多都是按照点赞量、评论量、交易量等等一些简单的字段结合成一个新字段,再根据新字段进行排序,就成了热度排序。也确实是热度排序,但是也有很多的问题,比如举一个例子:
知识付费平台,作者方上传自己的付费课程到平台,用户可在平台内查看到所有作者上传的课程,那么这个所有课程的热度排序该怎么去设计呢?
按照“赞转评”组合字段排序?
那么新上架的课程这些数据肯定不高,那就给它排到最后吗?排名靠前的永远就只是那些最早上传,且销量领先的课程。这就会导致后上传的课程因为新上架,销量低,所以得不到应有的曝光,最终导致的结果就是:后上传的作者没有得到公平的曝光,没有持续的动力去迭代课程、或产生新的课程。那么这个课程列表的用户活跃曲线便会在前期到达峰值后,持续下滑。
除了上述的问题之外,还有出现:
1、用户使用该热榜的需求是什么?是否得到满足呢?
2、作弊恶意刷榜,怎么办,人工干预吗?
3、如何给新出内容相对公平的曝光量?
4、如何避免列表的内容出现马太效应,即热度越大,曝光越多,曝光越多,热度越大?
一个真正的热度排序,会在内容列表里起了至关重要的作用:
从用户角度来看:热度排序说明了该列表里的内容是会不断更新,不断给自己推一些质量好,并且喜欢的内容;
从产品角度来看:热度排序决定了这个列表是否能满足用户当下最流行需求;
从运营角度来看:热度排序则可以更好的扶持新内容的产生,打造一个相对公平的内容平台,避免出现马太效应
流行的定义——“流行”是不断变化的,是根据社会上新出现的某一事务、观念等并被大众所接受、采用、进而迅速推广得来的。
二、热度排序分析
1、列举用户场景问题:
小明平时喜欢看言情小说,这三年来也读过不少小说了,市面上耳熟能详的小说基本上都有看过。正好最近刚读完一本,想再找一本新的,但是在网上找来找去发现找到的小说不是已经读过的就是写的不好,于是就想找一个可以看到最近新出的,而且质量还不错的言情小说排行榜,以便于找到想看的小说。
2、分析用户需求:
可以从在用户场景中拆分出用户的关键需求:“想找一本最近新出的、质量还不错的小说”。
“质量还不错的”要判断小说的质量就要依靠用户的行为数据,某些数据越高,说明大部分用户是喜欢该小说的,并且用户愿意拿出时间或金钱与该小说进行交换,那么就是说该内容的受欢迎度比较高
“最近新出的”就是说列表的内容必须要有时效性,发布时间比较早的就要考虑是否还有必要让它排序靠前;
符合以上场景的热度排序就要围绕着内容的时效性和受欢迎度两个关键点进行设计,以满足场景中用户的需求。
3、热度排序分析:
热度排序是由两个核心点构成,一个是时效性、一个是受欢迎度,
时效性要随着时间的流失,热度值会越来越低,并且应该是越减越快,直到接近0热度,便停止该内容的热度计算。其目的就是为了满足用户当下最流行的需求。
受欢迎度可以利用用户与内容产生的行为交互的某一字段或多个字段的组合值进行表达,字段要能准确反映出该内容是否可以满足当下流行的因素的影响下用户的需求,如:点赞评转收藏等字段都可以反映出内容是否符合最流行需求。
4、结合用户场景设计热度排序:
结合用户场景、热度排序分析,选取合适的字段,对其进行组合加工。从场景分析中可以得出结论:热度排序要围绕时效性和受欢迎度来进行设计。
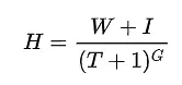
4.1、那么就可以定义一个简单的公式:

H=内容的热度值;
W=小说的阅读量、点赞量、评论量、加入书单量加权求和的数值;
I=作者本身的影响因子,影响因子与作者本身的历史数据有关;
G=一个衰减的重力参数;
T=小说发布的时长;
4.2、公式特点:
时间T值越大,热度H值越低;
对于不同的作者I,内容的初始热度是不同的,作者I值大则内容初始热度越大
面对不同的重力G,即使初始质量高,重力大时其热度衰减很快
一个内容的质量W越高,此内容热度高于新内容的时间越长
4.3、不同问题下的参数调整:
新小说太多,近期热门的不足:
1、降低初始数值I;
2、降低衰减重力G;
内容都是热门,新东西看不到:
1、提高初始数值I;
2、提高衰减重力G;
一会是一个老的热门的,一会是一特别新的
1、G较小的同时,I过大;
每一篇小说内容要按照以上公式进行计算,得出每一篇小说的热度权重,根据每条小说的热度权重进行降序排序,同时根据自身的业务类型确定热度排序列表的刷新频率,保证新内容产生的频率和列表刷新频率能够匹配,以打造一个相对公平的平台。
三、结语
本文根据了某一场景来对热度排序进行分析、设计。最终列举的热度排序公式不是很复杂,很适合前期小体量的内容产品使用。
目前很多内容产品的列表的排序方式不止一个,不同排序方式就是为了满足不同用户不同场景下的不同问题。但是一般情况下,热度排序都会作为默认排序方式。
有一点可以确定,那就是热度排序的目的,可以说所有排序的目的,都是是为了提高用户的“效用”,《俞军的产品方法论》里提到:“效用 = 欲望的满足程度”。不合适的热度排序会满足用户的“效用”吗,可能会满足,但是“效用”的满足程度肯定不高。
欢迎各位产品经理指点~~
本文来自毛小驴PM,本文观点不代表 PmTemple 立场,转载请联系原作者。原文链接:
微信扫一扫
支付宝扫一扫
评论列表(3条)
热度排序算法确实需要平衡新内容曝光与热门内容展示。建议引入时间衰减因子和内容质量评分,结合用户行为数据建立多维评估体系。避免简单线性叠加指标,可考虑使用对数函数降低马太效应,同时设置新内容专属曝光窗口期。
@悠然深度:热度排序算法直接影响平台内容生态健康度。数据显示,新内容曝光率每提升10%,创作者留存率可提高25%。单纯依靠”赞转评”的线性排序会导致内容生态僵化,建议引入时间权重和内容质量评估机制,平衡短期流量与长期价值。
哇!这个热度排序设计问题太有共鸣了!(◕‿◕) 我们游戏产品也面临类似挑战!新游戏发布初期很难获得曝光,可以加入”新品加权”和”活跃度衰减”机制,防止老游戏永远霸榜。热度算法确实需要更智能的平衡!